Summary
- Oscillatory motion
- Mass on spring
- Energy and oscillations
kw4
How long should a pendulum be in order to have a period of exactly one second?
A. 1.56 m
B. 0.248 m
C. 4.03 m
D. 387 m
Answer
If a 1.00-m-long pendulum on planet Gnuton has a period of 3.26 s, what is the acceleration due
to gravity on Gnuton?
A. 73.0 m/s²
B. 10.6 m/s²
C. 3.71 m/s²
D. 0.00238 m/s²
Answer
PoP5 12.30
Practice question The period of a simple pendulum is measured by timing 50 oscillations. For lengths of 1.000 m, 0.750 m, and 0.500 m the total times are 99.8 s, 86.6 s, and 71.1 s. Determine the period of
motion and the mean value of g for each measurement and compare it with the accepted value.
Plot T 2 versus L and obtain a value of g from the slope of the graph.
Answer
gc6 11.10
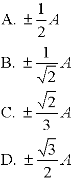
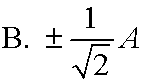
At what displacement from equilibrium is the speed of a SHO half the maximum value?

Answer
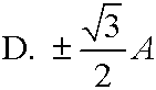
gc6 11.17
At what displacement from equilibrium is the energy of a SHO half KE and half PE?

Answer
answer
B. 0.248 m
answer
C. 3.71 m/s²
answer
answer

answer
